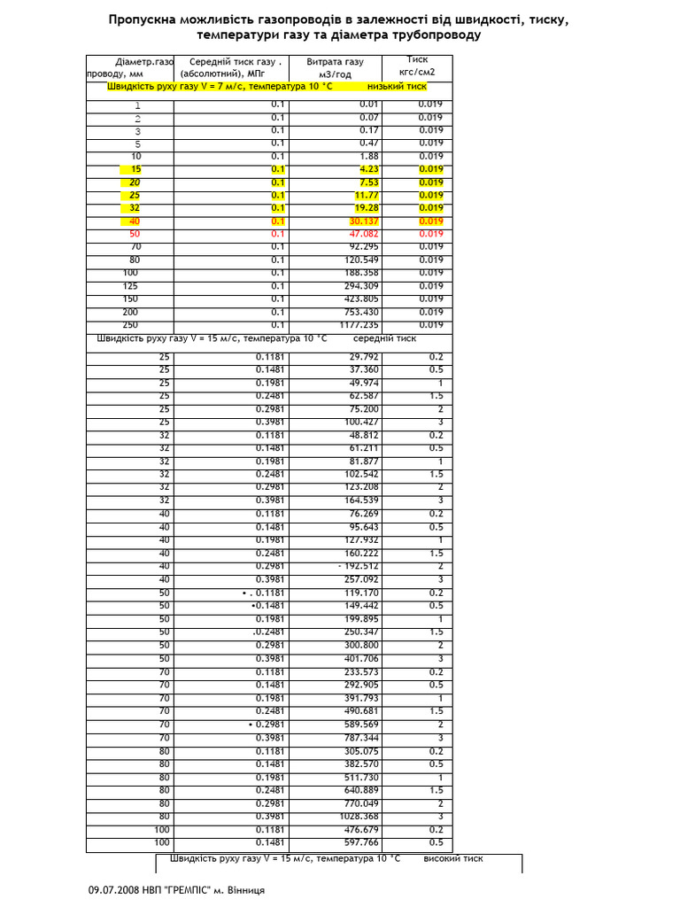
Розрахунок пропускної спроможності газопроводу
Яку пропускну здатність регуляторів тиску газу слід приймати?
При виборі регулятора враховуйте, що його пропускна здатність повинна на 15-20% перевищувати максимальне значення повсякчасної витрати газу споживачем.’);}],[{id:’g9JxaK6aFOSvi-gPyLrZAQ__82′},function(){window.jsl.dh(‘g9JxaK6aFOSvi-gPyLrZAQ__82′,’
Як часто проводиться КПО при тривалості експлуатації газопроводів понад 25 років?
не рідше ніж один раз на рік при тривалості експлуатації понад 25 років для таких, що знаходяться у складних геологічно-корозійних умовах (сейсмічність понад 6 балів, підроблювані території), мають захисне покриття типу «нормальне», включені до плану капітального ремонту або заміни.’);}],[{id:’g9JxaK6aFOSvi-gPyLrZAQ__85′},function(){window.jsl.dh(‘g9JxaK6aFOSvi-gPyLrZAQ__85′,’
Який тиск газу в побутовій мережі?
Тиск газу перед побутовими газовими приладами не повинен перевищувати 0,003 МПа.’);}],[{id:’g9JxaK6aFOSvi-gPyLrZAQ__88′},function(){window.jsl.dh(‘g9JxaK6aFOSvi-gPyLrZAQ__88′,’
Яка охоронна зона газопроводу середнього тиску?
4 Глави III Кодексу газорозподільних систем передбачено, що з метою забезпечення безпечної експлуатації об'єктів ГРМ встановлюються охоронні зони вздовж газопроводів середнього тиску – у вигляді ділянки землі, обмеженої умовними лініями, що проходять в 4 метрах від осі газопроводу по обидва боки.’);}],[{id:’g9JxaK6aFOSvi-gPyLrZAQ__91′},function(){window.jsl.dh(‘g9JxaK6aFOSvi-gPyLrZAQ__91′,’
Розрахунок проводиться за ДБН В.2.5-20-2001 (Е.16, Е17):. Е.16 При виконанні гідравлічного розрахунку надземних та внутрішніх газопроводів з. урахування …
Про затвердження Методики визначення наявної або відсутньої вільної пропускної спроможності (потужності) Єдиної газотранспортної системи України.
На підставі вихідних даних шляхом гідравлічного розрахунку газопроводу визначається технічна можливість пропускної спроможності газопроводів у конкретній точці …